2025年初,加密貨幣市場在樂觀與不確定性交織的復雜情緒中拉開帷幕。行業曾對新年抱以多重期許:美聯儲貨幣政策轉向的潛在紅利、AI技術革命的二次爆發、以及美國新一屆政府承諾的"加密友好"監管框架,均被視為推動行業突破的催化劑。然而,當第一季度塵埃落定,市場呈現的卻是"宏觀敘事強震蕩、微觀創新深蟄伏"的鮮明圖景。
全球宏觀經濟成為主導市場節奏的核心變量,美聯儲在通脹反復與衰退風險間艱難權衡,3月意外炒作的衰退降息預期雖短暫提振風險偏好,卻未能抵消美股估值泡沫破裂引發的流動性恐慌;而特朗普政府兌現競選承諾,推動了比特幣國家戰略儲備和數字資産戰略儲備、以及落實《數字資産監管明確法案》,為行業釋放結構性利好,但政策紅利與SEC執法寬松的並行,亦加劇市場對"合規化轉型成本"的爭議。比特幣在1月再次突破10萬美元歷史高位後遭遇30%深度回調,暴露市場資金對"減半敘事"的階段性獲利了結;山寨幣市場整體表現平淡,但RWA和用戶入口等資金和用戶增量的産品誕生和交付,仍為行業注入底層創新動能。值得關注的是,Binance等CEX加速佈局DEX生態,通過鏈上流動性聚合與賬戶抽象技術,推動用戶無縫接入DeFi等dApps場景,並且首次允許CEX用戶直接在賬戶内交易買賣DEX資産,這一"中心化與去中心化融合"的範式遷移,或將成為下一周期增長和破局的關鍵支點。
2025年第一季度,美國宏觀經濟環境對加密貨幣市場産生了深遠而復雜的影響。對於加密貨幣市場而言,從ETF通過BTC現貨開始,整個加密市場與美股的正相關性愈發增強,納指的走勢在一定程度上直接決定了加密貨幣市場的走向。雖然早年BTC被冠以「數字黃金」的稱號,但加密貨幣目前更偏向於風險資産,而非避險資産,受到市場流動性的影響更大,ArkStream未來也將持續關注宏觀經濟的趨勢變化。宏觀經濟的核心在於通脹與經濟強弱之間的平衡,市場交易的是對未來的預期:如果通脹過高或經濟過於強勁,美聯儲將傾向於推遲降息,這對資本市場不利;反之,如果經濟表現過於弱勢,則可能引發衰退風險,同樣不利於市場信心和資本流動。因此,宏觀經濟需要在強勢與弱勢之間找到一個微妙的平衡點,才能為資本市場提供有利的環境。DOGE部門大量裁撤政府機構工作人員,直接造成了失業率的上升。與此同時,特朗普的關稅政策通過直接推高受影響商品的價格以及相關服務行業的成本,加劇了通脹壓力,並使得美國經濟産生衰退的可能。
這一係列的政策使得市場不穩定因素增加,導致資本市場波動性增大。考慮到2024Q4季度大選行情帶來的高額漲幅和短期内市場潛在巨大波動造成的回撤風險,ArkStream Capital在2025Q1季度收縮了投資計劃,把更多的時間精力放在了OTC策略的業務探索和渠道拓展上。然而,考慮到此類政策可能並非單純的經濟調控手段,而是特朗普政府旨在增加與其他國家政治談判的籌碼,亦或者刻意制造混亂以達成特殊的政治經濟目的,即通過制造經濟衰退的迹象來倒逼美聯儲快速進行緊急防禦性降息,從而在緩解美國國家債務問題和刺激經濟增長和資本市場表現取得雙贏,我們仍然看好後續加密貨幣市場的表現。
在第一季度,加密貨幣市場對宏觀經濟數據的反應體現出高度的敏感性。以下是對1月、2月和3月市場表現的逐月分析。

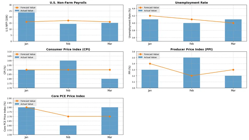
1月份,美國宏觀經濟數據整體強勁,但市場反應相對平穩。1月10日,12月季調後非農就業人口數據公佈,預期值為16萬,實際值為25.6萬,大幅超出市場預測;同日公佈的12月失業率為4.1%,低於預期的4.2%,進一步印證了經濟的強勁表現。1月14日,12月PPI年率公佈為3.3%,略低於預期的3.4%,被視為短期内通脹壓力有所緩解的信號。然而,1月15日公佈的12月未季調CPI年率為2.9%,符合預期,但較上月增長0.2%,開始引發市場對通脹擡頭和降息延遲的擔憂。1月31日,12月核心PCE數據為2.8%,符合預期,未對市場預期産生顯著擾動。整體來看,1月份的數據未能對加密貨幣市場造成明顯波動,就業市場的強勁和通脹數據的平穩使得BTC等資産價格保持相對穩定。
進入2月份,加密貨幣市場因宏觀經濟數據與預期之間的偏差而出現劇烈波動。2月7日,1月季調後非農就業人口數據公佈為14.3萬,低於預期的17萬;同日公佈的1月失業率為4.0%,低於預期的4.1%,就業市場表現不明朗,短期内加劇了市場的不確定性。2月12日,1月未季調CPI年率公佈為3.0%,高於預期的2.9%,通脹持續上行且超出預期,導致市場對降息的信心降至冰點。交易員普遍押注年内降息可能僅在12月發生一次,這對市場情緒造成巨大打擊,BTC在數據公佈後15分鐘内下跌2500點,跌幅達2.66%。次日,1月PPI年率公佈為3.5%,高於預期的3.2%,進一步加劇了市場對降息預期下調的擔憂。這被視為買盤力量減弱的導火索,隨後的半個月内,BTC下跌約20%,跌幅達到20000點。直到2月28日,1月核心PCE物價指數公佈為2.6%,低於預期,市場才得以企穩並形成底部。值得注意的是,PPI數據中金融和醫療服務部分的疲軟表現已為PCE的回落提供了前期信號。
3月份,宏觀經濟數據整體改善,市場情緒有所回暖,但核心PCE的超預期表現再次引發波動。3月7日,2月季調後非農就業人口數據公佈為15.1萬,略低於預期的16萬;同日公佈的2月失業率為4.1%,高於預期的4.0%,顯示就業市場略有疲軟。3月12日,2月未季調CPI年率公佈為2.8%,低於預期的2.9%;3月13日,2月PPI年率公佈為3.2%,略低於預期的3.3%。這一係列數據表明經濟在穩健的基礎上運行,通脹壓力有所緩解,降息進程有望加速。受此影響,加密貨幣市場在隨後的10天内出現了一波短暫反彈。然而,3月28日公佈的2月PCE物價指數年率為2.5%,符合預期,但核心PCE年率為2.8%,高於預期的2.7%。在數據公佈前10小時,市場因對核心PCE超預期的擔憂而出現明顯下跌,顯示出對通脹數據的持續敏感性。
綜上所述,2025年第一季度,美國宏觀經濟數據對加密貨幣市場的影響顯著且多變。1月份經濟強勁但市場反應平淡,2月份通脹超預期導致降息預期驟降,BTC大幅下跌,3月份經濟數據改善帶動短暫反彈,但核心PCE超預期再次引發回落。特朗普的關稅政策通過加劇通脹壓力,增加了市場的不確定性,可能成為倒逼美聯儲調整政策的重要因素。展望未來,加密貨幣市場的走勢仍將高度依賴宏觀經濟數據和美聯儲的政策動向,投資者需密切關注通脹和就業數據的動態,以準確把握市場趨勢。
特朗普於2025年3月簽署行政命令,要求建立戰略比特幣儲備,資金主要來自刑事或民事罰沒的約20萬枚比特幣(價值約180億美元),並禁止政府出售儲備中的比特幣。此舉旨在將比特幣提升為「主權儲備資産」,增強其合法性和流動性,同時推動美國在數字資産領域的領導地位。雖然在短期内比特幣價格飙升超8%,市場信心增強,但隨後市場認為儲備僅依賴罰沒資産且無新增購買計劃,價格迅速回落。長期來看,此舉可能引發其他國家效仿,推動比特幣成為國際儲備資産。另外,一係列非比特幣數字資産同樣有納入數字資産儲備庫的可能性。如此一來,標誌著加密貨幣從邊緣化資産向國家戰略工具的轉型。盡管短期内市場反應受挫,但其長期影響可能重塑全球金融體係:一方面推動比特幣成為主流儲備資産,另一方面加劇主權國家在數字金融領域的競爭。
在監管方面,特朗普上任後推動解僱SEC主席Gary Gensler,並成立加密資産工作組,明確證券與非證券類代幣的劃分標準,終止對Coinbase等企業的訴訟。此外,廢除了爭議性的會計準則SAB 121,減輕企業財務負擔。監管環境顯著寬松,機構投資者加速入場;傳統金融機構如銀行獲準開展加密託管業務,推動行業合規化進程。這一係列的監管政策通過松綁規則、重構框架與推動立法,改變了美國加密與金融行業的生態。短期看,政策紅利可能加速技術創新與資本流入;但長期需警惕係統性風險與全球監管博弈的復雜性。未來,政策落地效果將取決於司法挑戰、經濟周期及政治博弈的多重變量。
在穩定幣發展方面,特朗普政府為穩定幣建立聯邦監管框架,允許穩定幣發行機構接入美聯儲支付係統,並明確禁止美聯儲發行央行數字貨幣(CBDC),以維護私人加密貨幣的創新空間。穩定幣在跨境支付中的應用加速,美元國際化路徑拓展;私人穩定幣市場份額擴大,與傳統金融體係融合加深。
在關稅政策方面,2025年2月,特朗普簽署了《互惠貿易和關稅備忘錄》,要求美國各貿易夥伴的關稅稅率與美國一致,並對實行增值稅制度的國家加徵關稅。這一備忘錄是美國貿易政策調整的框架性文件,旨在減少美國的貿易逆差,解決貿易不平等和不平衡問題。隨後,加拿大、墨西哥、歐盟等迅速採取反制措施,導致全球關稅壁壘首次出現螺旋式上升。2025年4月2日,特朗普簽署了對等關稅的行政命令,進一步細化和落實2月備忘錄中的政策方向。該命令以減少美國的貿易逆差、促進制造業回流、保護美國的經濟和國家安全為目的,要求對與美國貿易逆差最大的國家徵收更高的對等關稅。這一舉措引發了主要受影響國家的迅速反制,特別是中國第一時間採取了相應的反制措施,導致雙方的經濟貿易關係正式進入嚴重分歧和摩擦階段。
在這樣的關稅政策影響下,全球貿易成本必然增加,國際貿易規模可能縮減。生産成本大幅上升,供應鏈重構加速,企業投資意願下降。最關鍵的是,美國將不得不面臨輸入性通脹的壓力。美聯儲的貨幣政策陷入兩難境地,降息預期被推遲。關稅政策還迫使企業將生産轉移至墨西哥等拉美國家,但美國本土的基礎設施和勞動力短缺問題阻礙了制造業的回流。汽車、電子産品等依賴全球供應鏈的行業受到重創,跨國公司盈利壓力增大,美股科技巨頭股價出現回調。新興市場在承接産業鏈轉移方面面臨挑戰,短期内難以完全彌補美國的需求缺口。關稅戰還削弱了美元作為國際貿易結算貨幣的信任度,導致十年期國債價格下滑,相應收益率上升。這背後也有特朗普政府計劃降低債務支出和借貸成本的考量,部分國家因此開始探索去美元化的路徑。金融市場方面,全球金融市場,包括美股、A股、日經等普遍大幅下跌,市場流動性面臨巨大壓力。

特朗普的加密貨幣政策通過監管松綁和戰略儲備,短期内提振了市場信心並吸引資本流入,但長期需警惕算力集中化與政策反復風險。而關稅政策雖以「美國優先」為名,卻導致全球貿易體係碎片化,推高通脹並加劇經濟衰退預期,迫使資金從風險資産流向黃金等避險資産。這兩大政策共同凸顯了美國在數字經濟與實體經濟轉型中的矛盾與博弈。
特朗普家族支持的DeFi項目World Liberty Financial(WLFI)自2024年推出以來,憑借其政治背景和資本運作,對加密貨幣行業産生了多維度影響。WLFI被視為特朗普政府加密友好政策的「風向標」,其資産配置和戰略合作被市場解讀為「總統精選組合」,吸引投資者跟風佈局,短期可能加劇市場對「政治敘事」的依賴,推動特定代幣的價格波動,長期需警惕政策反復性風險。同時,WLFI於2025年3月推出的美元穩定幣USD1,強調合規性和機構級託管,若成功滲透跨境支付和DeFi場景,可能削弱現有穩定幣的市場份額,同時推動美元數字化進程,鞏固美國在全球金融體係中的主導地位。
此外,WLFI的運作受益於特朗普政府的政策調整,為類似項目提供了合規模板,降低行業合規門檻,吸引傳統金融機構參與加密業務,但可能因監管套利導致市場泡沫。
在長期戰略價值方面,WLFI重倉各種加密貨幣,例如BTC、ETH、AAVE、ONDO和ENA等,由此與特朗普政府推動的「戰略加密儲備」政策形成呼應,這種佈局可能引導更多資本關注加密貨幣資産,從而推動數字資産儲備成為下一周期核心敘事。同時,WLFI的運作模式為其他項目提供了「政商聯動」的參考案例,未來可能出現更多依託政治勢力的加密項目,但需平衡合規性與去中心化原則。

綜上所述,WLFI對加密貨幣行業的影響具有雙刃劍效應,一方面通過政治賦能加速合規化進程,推動DeFi與機構資本融合,並探索美元穩定幣的全球化應用;另一方面,依賴政策紅利可能導致市場泡沫,利益分配不透明可能引發信任危機,項目執行不力或成行業負面案例。未來需重點關注WLFI的産品落地進展、USD1的市場接受度,以及特朗普政府政策連貫性對其的支撐作用。
交易所 和 Web3 錢包作為進入加密世界的重要流量入口,用戶常在主流交易所先使用法幣完成資産充值,並進行加密貨幣的交易、借貸、理財等金融活動,或借助各公鏈的 Web3 錢包與各類 dApps 交互。過去,二者界限分明。因 Web3 錢包使用門檻與教育成本較高,普通用戶多從交易所開啓 Web3 之旅,且中心化交易所則通過比去中心化 dApps 更成熟更流通的服務來留存用戶。尤其進入 2025 年,交易所業務相較上一周期更加成熟,如幣安在 2024 年宣佈用戶數達 2 億,相比於上個周期,增加了一倍。反觀 Web3 原生 On Chain 用戶,受多種因素限制,鏈上日活僅為中心化交易所的約 10%。
自 2023 年起,交易所憑借自身交易所錢包資産管理的積累和沉澱,進軍 Web3 Wallet 産品市場。其中,OKX Wallet 在産品層面吸引眾多用戶,憑借卓越的産品體驗,如資産管理、鏈上交互和交易優化等方面的表現,成功籠絡大量用戶。CEX 利用自身在交易所 Wallet 模塊的優勢,比如自建不同公鏈 RPC 等,打造更為完善和優秀的錢包産品,實現了對用戶的吸引和留存。然而,OKX Wallet 本質上與傳統 Web3 Wallet 並無顯著差異,僅是一個更優質、更便捷的多鏈 Wallet,並沒有打破原生Web3 Wallet的使用門檻。
Binance Web3 Wallet與交易所賬戶緊密綁定,初期便支持站内資産與 Web3 錢包之間的快速接收和發送,降低用戶使用 Web3 錢包時的安全顧慮,從交易所層面提供保障。同時,Binance Web3 聯合生態内主流 DEX 推出多期面向普通用戶的 IDO,吸引更多站内用戶參與並學習鏈上知識。此外,其最新錢包功能允許站内用戶直接購買 Alpha 係列鏈上資産,實現從 CEX 内部直接購買鏈上資産的功能,徹底打破 CEX 與 DEX 之間的傳統邊界。

與主流 CEX 主導的 Web3 Wallet 不同,原生加密項目方在 Wallet 領域能夠專注於鏈上用戶實際且緊迫的需求。Particle Network 憑借其在 MPC 和賬戶抽象技術方面的多年積累,抓住多鏈交易催生的統一賬戶需求,推出了 UniversalX 。該産品融合了錢包和交易平台,切實解決了不同鏈資産轉移和交易的難題,幫助用戶在多鏈環境中實現資産的便捷管理和高效交易。憑借這一創新産品,Particle Network 獲得了市場的良好口碑和廣泛認可。

CEX與DEX的融合不僅是技術層面的創新,更是加密貨幣市場從「對立割裂」走向「協同共生」的裡程碑。這種變革在提升效率和包容性的同時,也催生了監管、安全和治理的新挑戰。未來,誰能更好地平衡中心化效率與去中心化的資産安全性和自主性,誰就能主導下一代金融基礎設施的演進方向。
内容來源:PANews
更多精彩內容,請登陸
財華香港網 (https://www.finet.hk/)
現代電視 (http://www.fintv.com)